Search This Blog

Rumus dan Cara Menghitung Perbesaran Mikroskop

kumparan - #kumparanAdalahJawaban
 
Rumus dan Cara Menghitung Perbesaran Mikroskop
Dec 9th 2023, 21:13, by Berita Terkini, Berita Terkini

Ilustrasi Jelaskan Cara Menghitung Perbesaran Mikroskop. Sumber: Unsplash/Yassine Khalfalli
Ilustrasi Jelaskan Cara Menghitung Perbesaran Mikroskop. Sumber: Unsplash/Yassine Khalfalli

Jelaskan cara menghitung perbesaran mikroskop! Pertanyaan ini biasanya muncul dalam pelajaran IPA, lebih tepatnya fisika dalam pembahasan mengenai alat optik.

Dikutip dari buku Mikroskop, Suparti, (2020:2) mikroskop adalah suatu benda yang berguna untuk memberikan bayangan yang diperbesar dari benda-benda yang terlalu kecil untuk dilihat dengan mata telanjang.

Cara Menghitung Perbesaran Mikroskop

Ilustrasi Jelaskan Cara Menghitung Perbesaran Mikroskop. Sumber: Unsplash/Trust "Tru" Katsande
Ilustrasi Jelaskan Cara Menghitung Perbesaran Mikroskop. Sumber: Unsplash/Trust "Tru" Katsande

Mikroskop adalah alat optik yang berfungsi untuk dapat melihat benda-benda kecil supaya terlihat lebih besar dan jelas. Jelaskan cara menghitung perbesaran mikroskop! Simak jawabannya dalam ulasan berikut ini.

Untuk dapat menghitung perbesaran mikroskop terdapat beberapa rumus. Berikut beberapa rumus mikroskop yang penting dan sering digunakan.

1. Panjang mikroskop (L)

Panjang mikroskop (L) dapat dicari dengan menggunakan rumus berikut.

L = s'ob + sok

Keterangan:

L= panjang mikroskop (meter)

s'ob= jarak bayangan lensa objektif

sok= jarak benda lensa okuler

2. Perbesaran Lensa Objektif

Perbesaran lensa objektif selalu sama pada saat mata berakomodasi maksimum atau mata tidak berakomodasi karena lensa objektif digunakan untuk membentuk bayangan objek asli dan tidak berhubungan langsung dengan mata pengamat.

Rumusnya adalah:

Mob = h'ob / hob = | -s'ob / sob |

Keterangan:

Mob = perbesaran lensa objektif

s'ob = jarak bayangan bagi lensa objektif

sob = jarak benda bagi lensa objektif

h'ob = tinggi bayangan

hob = tinggi benda

3. Perbesaran Lensa Okuler

Lensa okuler memiliki titik kurang dari fokus yang bersifat sebagai lup dengan mata berakomodasi maksimum.

Rumus mikroskop yang digunakan adalah:

Mok = sn / fok+1

Keterangan:

Mok = perbesaran lensa okuler

sn = jarak titik dekat mata normal

fok = jarak fokus lensa okuler

4. Perbesaran Total Mikroskop

Rumus mikroskop untuk menghitung perbesaran total mikroskop adalah:

Mtot = Mob x Mok

Keterangan:

M = perbesaran total mikroskop

mob = perbesaran lensa objektif

mok = perbesaran lensa okuler

Contoh soal

Sebuah obyek diletakkan 1,6 cm dari lensa obyektif sebuah mikroskop. Jika jarak titik fokus lensa obyektif 1,4 cm, jarak titik fokus lensa okuler 2 cm, dan pengamatan dilakukan oleh siswa dengan titik dekat mata 20 cm tanpa berakomodasi, maka perbesar total bayangan adalah ....

A. 66 kali

B. 70 kali

C. 77 kali

D. 80 kali

E. 96 kali

Jawab:

Diketahui:

Sob = 1,6 cm

fob = 1,4 cm

fok = 2 cm

Sn = 20 cm

M = ....? Untuk mata tidak berakomodasi

Pembahasan:

Pertama, hitung jarak bayangan terhadap lensa obyektif terlebih dulu (S'ob), sebagai berikut:

Ilustrasi cara menghitung perbesaran mikroskop. Sumber: Pribadi
Ilustrasi cara menghitung perbesaran mikroskop. Sumber: Pribadi

S'ob = 11,2 cm

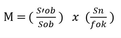
Kemudian, hitung perbesaran mikroskop dengan mata tidak berakomodasi, dihitung dengan rumus:

Ilustrasi cara menghitung perbesaran mikroskop. Sumber: Pribadi
Ilustrasi cara menghitung perbesaran mikroskop. Sumber: Pribadi

= (7) x (10)

= 70 kali

Jadi, perbesaran total bayangan adalah 70 kali. Jawaban (B).

Baca Juga: Kumpulan Contoh Soal Mikroskop beserta Kunci Jawabannya

Demikian penjelasan mengenai pertanyaan jelaskan cara menghitung mikroskop. Hapalkan rumus ini supaya tidak bingung saat menghadapi soal serupa. (glg)

Media files:
01hh6p6scrxj6smd9288gkqpxk.jpg (image/jpeg)
You are receiving this email because you subscribed to this feed at blogtrottr.com. By using Blogtrottr, you agree to our policies, terms and conditions.

If you no longer wish to receive these emails, you can unsubscribe from this feed, or manage all your subscriptions.

Tidak ada komentar:

Posting Komentar